I en nyligen publicerad studie i JAMA Network Open, baserad på data från NPCR, så undersöktes förändringar i användning av dubblettbehandling (hormonbehandling plus kemoterapi eller androgenreceptorblockerare; ARPI) och överlevnad hos män med spridd prostatacancer vid diagnos.
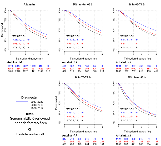
Studien visade att andelen män som fick dubblettbehandling inom 6 månader från diagnos ökade från 1% hos män diagnostiserade år 2016 till 44% år 2020. Ökningen var störst hos män under 65 år vid diagnos, där 42% hade fått kemoterapi och 31% ARPI år 2020, medan det bland män över 80 år var mycket ovanligt med kemoterapi (1%) och mindre vanligt med ARPI (17%) samma år. Samtidigt så ökade femårsöverlevnaden från 26% 2008–2012 till 35% 2017–2020, vilket motsvarar en ökning på sex månader i genomsnittlig överlevnad under de första fem åren, se figur. Överlevnaden ökade tydligast hos män under 80 år.
- I kliniska studier så ökar man visat att dubblettbehandling överlevnaden hos män med kastrationskänslig spridd prostatacancer vid diagnos. I STAMPEDE, till exempel, så var femårsöverlevnaden 60% hos män som fick hormonbehandling plus en ARPI jämfört med 41% hos de som endast fick hormonbehandling. Våra resultat speglar dessa i svensk klinisk praxis, säger Christian Corsini, försteförfattare, ST-läkare som gästforskar vid institutionen för kirurgiska vetenskaper, Uppsala universitet, och urolog vid San Rafaelesjukhuset i Milano.
Förändringar i användning av dubblettbehandling och överlevnad undersöktes hos 11 382 män diagnostiserade med spridd prostatacancer mellan 2008–2020. Männen följdes till och med 31/12 2022. Femårsöverlevnad studerades i tre tidsperioder hos män som diagnostiserats 2008–2012, 2013–2016, och 2017–2020 som motsvarar den gradvisa förändringen i behandling, uppdelat i fyra åldersgrupper.
- Huvudanledningen till den förbättrade överlevnaden ansåg vi vara den ökade användningen av dubblettbehandling redan vid diagnos. En fortsatt ökning av dubblettbehandling och introduktionen av triplettbehandling som kombinerar hormonbehandling, ARPI och kemoterapi, kommer troligen leda till ytterligare överlevnadsvinster, avslutar Christian.

Figurtext: Överlevnad skattad med parametrisk överlevnadsmodell och standardiserad enligt case-mix 2017–2020 utifrån ålder, PSA, Gleason score, T stadium, symptomatiskt eller asymtomatiskt uppdagande av cancern, primärbehandling samt samsjuklighet mätt med DCI och MDCI. Figuren är en översatt och omarbetad version av originalfiguren (open access CC BY 4.0).